Evaluation of the Long-Term Administration of Proton Pump Inhibitors (PPIs) in the Mineral Nutrient’s Bioavailability

ACS Omega 2025, 10, 46, 56085–56095: Graphical abstract
This study evaluated the effects of prolonged proton pump inhibitor (PPI) administration on mineral nutrient bioavailability using a rat model. Animals treated with omeprazole for up to 60 days were assessed for physiological, biochemical, and hematological changes, alongside elemental analysis using ICP-MS.
Results showed significant alterations in blood markers and imbalances in essential elements such as iron, copper, and calcium in both blood and organs. These findings indicate that long-term PPI use may impair nutrient absorption and physiological stability, underscoring potential risks of mineral deficiency associated with extended PPI therapy.
The original article
Evaluation of the Long-Term Administration of Proton Pump Inhibitors (PPIs) in the Mineral Nutrient’s Bioavailability
Andréa Santana de Brito, Angerson Nogueira do Nascimento*, Fernando Luiz Affonso Fonseca, Alexandre Minami Fioroto, Giuliana Petri, and Rafaela Garcia Vidigal do Nascimento
ACS Omega 2025, 10, 46, 56085–56095
https://doi.org/10.1021/acsomega.5c07700
licensed under CC-BY 4.0
Selected sections from the article follow. Formats and hyperlinks were adapted from the original.
The human body requires a diverse array of nutrients, each fulfilling distinct physiological roles that underpin both health and disease prevention. These compounds, broadly divided into macronutrients such as proteins, carbohydrates, fats, and micronutrients, are obtained primarily through the diet. While macronutrients are consumed in larger quantities to supply energy and support tissue growth and repair, micronutrients, including a variety of vitamins and minerals, are needed in much smaller amounts. (1−4)
Minerals can be further subdivided into macroelements and microelements, depending on the amounts required by the body. (5) Macroelements such as calcium, magnesium, and potassium are needed in higher concentrations and participate in structural, neuromuscular, and hydroelectrolytic balance functions. Microelements, including iron, zinc, and copper are required in trace amounts, however, they play crucial roles as enzyme cofactors, antioxidants, and regulators of immune function. (6)
Among these minerals, calcium is critical for blood clotting, neuromuscular excitability, and nerve impulse transmission. Iron is essential for hemoglobin production and is a component of enzymes such as cytochrome oxidase, catalases, and dehydrogenases found in skeletal muscle. (7−9) Copper contributes to iron mobilization for hemoglobin synthesis and functions as a catalytic cofactor of cuproenzymes, which are necessary for cellular respiration, neurotransmitter biosynthesis, antioxidant defense, and connective tissue formation. (10,11) Zinc is involved in cell replication, phagocytic activity, sexual maturation, fertility, and reproduction. (12) Magnesium and potassium are essential for cardiac function, skeletal muscle contraction, and cellular respiration. (13−15) Deficiency in these nutrients can lead to disorders such as anemia, osteoporosis, arrhythmia, and chronic kidney disease. (16−18)
Considering the importance of these elements in the human diet and their contributions to physiological functions, numerous bioaccessibility studies have been conducted to identify and quantify nutrients in foods. (19) However, while total nutrient concentrations provide insights into the chemical composition of foods, they do not necessarily reflect the amounts absorbed by the body. (1,2) Several factors influence nutrient bioavailability, one of which is the use of medications. For instance, proton pump inhibitors (PPIs) are particularly relevant in this context, as they are widely prescribed and concerns have been raised regarding their potential overuse. (20−23) Omeprazole, one of the most prescribed PPIs, is recommended for short-term use, typically not exceeding 8 weeks. Nevertheless, chronic and unregulated consumption is frequently observed, raising concerns about possible health risks. (24)
PPIs act by increasing intragastric pH and significantly reducing hydrogen ion concentration, thereby hindering nutrient bioavailability during gastric transit. (25,26) Their use has been associated with adverse health impacts, including increased risk of infections due to suppressed gastric acidity, alterations in gastric microbiota, and bacterial overgrowth in the small intestine. (27,28) Moreover, long-term omeprazole administration may negatively affect kidney function, although the immunological mechanisms underlying PPI-induced toxicity remain unclear. (29,30)
Current evidence suggests a potential impact of PPIs on nutritional status, which is potentially associated with undernutrition. However, existing studies in this field remain inconsistent. For instance, a study conducted on older hospitalized patients demonstrated no significant association between long-term PPI use and undernutrition. Conversely, in certain studies, PPI administration has been linked to weight gain. Additionally, a cardiology study indicated an association between PPIs and increased nutritional risks among patients undergoing rehabilitation following treatment for ischemic and valvular heart disease. These differences highlight the need for further investigations to evaluate the effects of PPIs on nutritional status. (31,32)
In this context, this study aims to investigate the relationship between omeprazole administration and its potential effects on the absorption and bioavailability of Fe, Ca, Mg, Zn, Cu, and K. Furthermore, physiological parameters and hematological profiles were assessed in rats to provide complementary insights.
Materials and Methods
Elemental Determination in Biological Samples
The solutions resulting from acid digestion were analyzed by inductively coupled plasma mass spectrometry (ICP–MS, iCAP Q, Thermo Fisher Scientific, Cambridge, England) equipped with a quadrupole mass analyzer. Calibration and internal standard solutions for ICP–MS analysis were prepared from multielemental solutions (G1516 V and MICPG1583V, Quimlab Produtos de Quı́mica Fina Ltda, São José dos Campos, Brazil). Calibration and internal standard solutions were obtained by serial dilutions within the concentration range of 0.1–100 ppb. The internal standard concentration was fixed at 50 ppb. Intermediate solutions were prepared in 0.1% HNO3, with deionized water used for dilution. Linear regression was applied, and the limits of detection (LOD) and quantification (LQ) were calculated from ten measurements of the analytical blank. The instrumental parameters used in the operation of ICP–MS are described in Table 1.
Results and Discussion
Elemental Determination in Biological Samples
The distribution of Fe, Cu, Mg, Zn, Ca, and K in different tissues was investigated to evaluate the effects of omeprazole administration on elemental homeostasis in rats. Synchrony among nutrient absorption, usage, and storage is essential for maintaining the physiological balance. Hence, a comprehensive evaluation of these elements is critical for identifying potential disturbances caused by drug exposure.
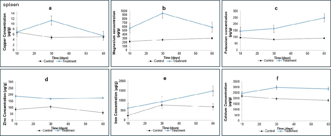
Liver, stomach, and spleen samples were analyzed using ICP–MS. Despite the limited literature available on the effects of drugs on minerals and trace element concentrations in humans and animals, the application of ICP–MS for elemental determination in these tissues holds significant clinical and scientific relevance. (48−50) These organs were selected due to their essential roles in physiological processes. Elemental analysis provides valuable insights into their chemical composition, particularly given their participation in blood formation. Substantial alterations in their elemental composition may result in physiological complications. (9,10,51) The results are presented in Figures 3–5, with detailed discussions for each organ provided in the following sections.
ACS Omega 2025, 10, 46, 56085–56095: Figure 3. Mean concentrations of Cu, Mg, K, Zn, Fe, and Ca in liver determined by ICP–MS. Values are presented as mean ± standard deviation (μg/g). (a) Copper; (b) iron; (c) magnesium; (d) calcium; (e) potassium; and (f) zinc. The control group is represented in black, and the treatment group in blue. Statistical significance was determined by one-way ANOVA (p <0.05).
ACS Omega 2025, 10, 46, 56085–56095: Figure 4. Mean concentrations of Cu, Mg, K, Zn, Fe, and Ca in stomach determined by ICP–MS. Values are presented as mean ± standard deviation (μg/g). (a) Copper; (b) magnesium; (c) potassium; (d) zinc; (e) iron; and (f) calcium. The control group is represented in black, and the treatment group in blue. Statistical significance was determined by one-way ANOVA (p <0.05).
ACS Omega 2025, 10, 46, 56085–56095: Figure 5. Mean concentrations of Cu, Mg, K, Zn, Fe, and Ca in spleen determined by ICP–MS. Values are presented as mean ± standard deviation (μg/g). (a) Copper; (b) magnesium; (c) potassium; (d) zinc; (e) iron; and (f) calcium. The control group is represented in black, and the treatment group in blue. Statistical significance was determined by one-way ANOVA (p <0.05).
Conclusion
This study evaluated the effects of omeprazole administration on the absorption and bioavailability of essential nutrients, focusing on Fe, Ca, Mg, Zn, Cu, and K. Integrated analysis of hematological and biochemical profiles, along with the elemental composition of rat organs, revealed that omeprazole treatment significantly altered mineral homeostasis and relevant physiological parameters. Evidence of iron deficiency anemia was observed, characterized by reduced circulating Fe, decreased hemoglobin levels, lower red blood cell counts, and altered hematimetric indices. In addition, reductions in Cu levels may impair intestinal Fe reabsorption. Alterations in Ca, Mg, and K concentrations also indicate potential effects on bone metabolism and cardiovascular function.
Overall, these results support the hypothesis that prolonged omeprazole use may interfere with nutrient absorption and promote systemic imbalances. Further investigations with extended treatment periods are recommended, particularly considering the chronic use of proton pump inhibitors in clinical practice.




