Essential Trace Elements in Edible Plants: Balancing Nutritional Benefits and Potential Health Risks

J. Agric. Food Chem. 2026, 74, 8, 7084–7097: Graphical abstract
This study investigates the concentrations and bioaccessibility of essential trace elements (Co, Cu, Fe, Mn, Zn) in commonly consumed edible plants. Using multiple physiologically relevant extraction methods, the work assesses both total and bioaccessible fractions to better estimate dietary intake.
Monte Carlo simulations revealed variability in nutrient exposure, with most intake levels within recommended ranges but some cases indicating potential deficiencies or excess. The results highlight the importance of incorporating bioaccessibility and realistic exposure modeling into nutritional assessments and dietary risk evaluations.
The original article
Essential Trace Elements in Edible Plants: Balancing Nutritional Benefits and Potential Health Risks
Agata Stolecka*, Pilar Ortiz Sandoval, and Agnieszka Gruszecka-Kosowska
J. Agric. Food Chem. 2026, 74, 8, 7084–7097
https://doi.org/10.1021/acs.jafc.5c10365
licensed under CC-BY 4.0
Selected sections from the article follow. Formats and hyperlinks were adapted from the original.
Many trace elements are essential micronutrients required in minute amounts, yet they are indispensable for the structural and functional integrity of living organisms. (1) As a subgroup of micronutrients, alongside vitamins and antioxidants, they play vital roles in supporting regenerative processes, defending against oxidative stress, and maintaining immune function in metabolically active tissues. (2) Despite their low concentrations in biological systems, they serve as cofactors for numerous enzymatic reactions and contribute to essential physiological processes such as oxygen transport, redox balance, and cellular metabolism. (3−5) In line with the WHO (6) and Frieden (7) classifications, this study focuses on the essential trace elements (ETEs), namely cobalt (Co), copper (Cu), iron (Fe), manganese (Mn), and zinc (Zn), all of which have well-established roles in human nutrition and are integral to maintaining both general and oral health. (8) Deficiency in the aforementioned elements can lead to a range of health problems. Co, as a component of vitamin B12, is critical for red blood cell formation and neurological function; its deficiency may result in megaloblastic anemia and neurological impairments. (9) Cu is essential for iron metabolism, antioxidant defense, and connective tissue synthesis; inadequate intake can lead to anemia, weakened immunity, impaired growth and development (especially in children), osteoporosis, abnormal cholesterol metabolism, and neurological disturbances. (10) Fe deficiency remains one of the most widespread nutritional problems globally and is the leading cause of anemia, fatigue, and impaired cognitive and immune function. (11) Mn is involved in bone development, metabolism, and antioxidant enzyme activity; low levels can impair growth, fertility, and glucose regulation. (12) Zn is vital for immune response, wound healing, and DNA synthesis; deficiency can cause growth retardation, delayed sexual maturation, and increased susceptibility to infections. (13) While maintaining adequate levels of these trace elements is crucial for overall health and physiological functioning, excessive intake may also pose health risks. (14,15) The margin between beneficial and toxic doses is broad for some bioelements but narrow for others, highlighting the need for careful monitoring of their concentrations in the food supply. (16)
The mineral content of edible plants, a major dietary source of essential elements, is influenced by numerous factors, including plant genotype (cultivar), soil properties, weather conditions, and agricultural practices such as fertilizer application during fruiting and maturation stages. (17) Consequently, the concentration of trace elements in plant-based foods can vary widely, affecting both their nutritional value and their potential to contribute to dietary exposure risks. (18) Customarily, the assessment of ETEs in edible plants has relied on total concentration (TC) measurements, which assume complete gastrointestinal absorption. (19−21) While this approach is commonly used to estimate nutritional contributions, it does not account for the fact that only a fraction of the ingested element may be bioaccessible and available for absorption during digestion. As a result, it may lead to either over- or underestimation of both health benefits and potential adverse effects. To better reflect human exposure, a range of in vitro extraction methods have been developed to simulate the bioaccessibility of elements under gastric and/or intestinal conditions. (22,23) These methods vary in terms of chemical reagents, pH levels, and complexity. For example, the BCR 3-step extraction targets chemical elements associated with different binding forms, (24) while the USEPA 1340 simulates acidic gastric conditions relevant to lead bioaccessibility. (25) More advanced protocols, like ISO 17924:2018 and the BARGE Unified Bioaccessibility Method (UBM), replicate digestive phases using physiologically relevant fluids. (22,26) Simpler methods, such as SBET and PBET, aim to simulate one or both digestion phases under controlled laboratory conditions. (27,28) In the context of ETEs such as Co, Cu, Fe, Mn, and Zn, evaluating bioaccessibility is crucial for accurate dietary intake estimates. These elements play key roles in numerous physiological functions, and both deficiencies and excess intake can affect human health. However, limited data exist on how the choice of extraction method affects estimates of their dietary contribution and associated noncarcinogenic risks.
To address this gap, the present study evaluates Co, Cu, Fe, Mn, and Zn concentrations in vegetables, fruits, and cereals using seven extraction methods. The results are used to estimate both the nutritional contribution and the potential health risks from dietary intake. To incorporate variability and uncertainty in dietary exposure, such as metal concentrations, consumption patterns, and body weight, Monte Carlo simulations were applied. This probabilistic approach enables a more robust evaluation of nutrient intake and safety, providing insights that can inform dietary guidelines and regulatory decisions. The main objective of the study was to investigate how different extraction methods, simulating gastrointestinal bioaccessibility, may impact the estimation of both nutritional contribution and potential risks. In this study, the contribution of five ETEs, namely Co, Cu, Fe, Mn, and Zn, to a healthy diet and the potential health risks associated with their intake were evaluated. The detailed objectives of the study were to 1) investigate concentrations of Co, Cu, Fe, Mn, and Zn in three plant categories, namely vegetables, fruits, and cereals, using the following seven extraction methods: Total Content (TC), three-step extraction procedure (BCR), USEPA SW-846 Test Method 1340: In Vitro Bioaccessibility Assay for Lead in Soil (USEPA), ISO 17924:2018 Soil quality─Assessment of human exposure from ingestion of soil and soil material─procedure for the estimation of the human bioaccessibility/bioavailability of metals in soil (ISO), the BARGE (Bioaccessibility Research Group of Europe) unified bioaccessibility method (UBM), Simple Bioavailability Test (SBET), and Physiologically Based Extraction Test (PBET); 2) use Monte Carlo simulations to estimate the nutritional contribution and noncarcinogenic risk from dietary intake of these ETEs, based on Polish food consumption data; and 3) address variability and uncertainty in dietary exposure through probabilistic modeling with Monte Carlo simulations.
2. Materials and Methods
2.3. Instrumental Analysis
The concentrations of investigated ETEs were determined by inductively coupled plasma-mass spectrometry (ICP-MS) (ELAN 6100; PerkinElmer, Waltham, MA, USA) in the case of Co or inductively coupled plasma optical emission spectrometry (ICP-OES) (OPTIMA 7300DV; PerkinElmer, Waltham, MA, USA) in the case of Cu, Fe, Mn, and Zn according to the United States Environmental Protection Agency (USEPA) 6020B and ISO 17294-2:2003 protocols.
4. Results and Discussion
4.2. Estimated Nutrient Intake (ENI)
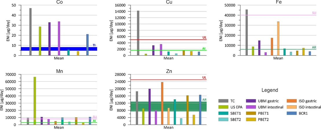
Estimated Nutrient Intake of ETEs (50th percentile) from all edible plants intake from Monte Carlo simulations is shown in Figure 2.
Anal. Chem. 2026, 98, 9, 6589–6597: Figure 2. Evaluation of CoD screening prediction performance of LCMS-Net in comparison to benchmark models. The prediction performance of a classifier is measured by accuracy, macro F1-score, macro sensitivity, and macro specificity over five model runs. The error bars represent the standard deviations between model runs.
4.3. Human Health Risk Assessment
Noncarcinogenic risk (HQ) values for 5th, 50th, and 95th percentiles of the determined concentrations of investigated ETEs in vegetables, fruits, and cereals calculated using Monte Carlo simulations are presented in Figure 3, and the same values for the sum of edible plants consumed are presented in Figure 4.
J. Agric. Food Chem. 2026, 74, 8, 7084–7097: Figure 3. Noncarcinogenic (HQ) risk values for investigated trace elements from various extraction methods according to Polish statistical consumption of edible plants, vegetables, fruits, and cereals separately.
J. Agric. Food Chem. 2026, 74, 8, 7084–7097: Figure 4. Noncarcinogenic (HQ) risk values for investigated trace elements from various extraction methods according to Polish statistical consumption of the sum of edible plants.
Due to concentrations below the LOQ, HQ values could not be calculated for several ETEs in vegetables, fruits, and cereals across the different extraction methods. For instance, Co in cereals yielded measurable concentrations only under the TC method, whereas Fe in vegetables was consistently above the LOQ for all extraction methods, allowing HQ estimation in each case. These results indicate that the efficiency of element recovery is both element- and matrix-dependent and that no single extraction protocol is universally optimal for all ETE–matrix combinations.
Considering HQs that were successfully simulated across most elements (particularly Co, Cu, and Fe), the TC method produced the highest HQ values, exceeding the risk threshold (HQ = 1) at the 95th percentile for Co and Cu. The 95th percentile HQ for Co under TC reached 1.05 in vegetables and 2.77 in fruits, staying below the safety threshold for cereals, while for Cu it reached 4.30 in vegetables, 1.83 in fruits, and 1.08 in cereals, indicating potential overestimation if full bioavailability is assumed. For Fe the risk was lower, staying below the threshold in all cases, but TC still displayed the highest values in most cases with the 95th percentile HQ reaching 0.66 in vegetables, 0.39 in fruits, and 0.43 in cereals. The only exception to this trend was the 95th percentile risk for Fe in vegetables, where the ISO intestinal yielded 0.87.
In contrast, bioaccessibility-based methods (e.g., UBM, PBET, SBET, and BCR) generally generated lower HQs, often falling below the threshold. For example, 95th percentile Co HQ values under UBM gastric and intestinal extractions were ∼0.75 in vegetables, while USEPA was 0.56 and SBET, PBET, and BCR yielded <0.50. A similar trend was observed for Cu, where UBM intestinal yielded 0.58 vs 4.30 under TC.
However, Mn and Zn showed distinctively different patterns. For Mn in cereals, the USEPA method produced a median HQ of 5.18 and 15.7 at the 95th percentile, far higher than all the other methods, including the TC method (median 0.32). For Zn in vegetables, ISO gastric (0.39) and intestinal (0.37) extractions gave median HQs higher than that of TC (0.27).
4.7. Implications
This study shows that the extraction method choice greatly affects Estimated Nutrient Intake (ENI) and dietary exposure assessments of essential trace elements in edible plants. Simulated gastrointestinal methods, reflecting human physiology, generally report lower concentrations than the TC method, indicating that relying on total concentrations alone can overestimate intake by ignoring bioaccessibility, a key factor in accurate risk assessment.
ENI assessments help evaluate nutrient over- or underexposure but may miss health risks. Monte Carlo-based Hazard Quotient (HQ) analysis provides a more precise dietary risk estimate by accounting for bioavailability and intake variability. This combined approach is crucial for essential elements, balancing deficiency and toxicity concerns.
For most elements, ENI values matched recommended intakes, but variations occurred by element, food group, and extraction method. Some simulations indicated possible insufficient intake risks (e.g., Co and Fe in certain plants), while others showed overexposure risks (notably, Cu and Mn) when assuming full bioavailability from total concentrations. These results highlight the need to include realistic bioaccessibility in dietary nutrient assessments.
Comparing HQ values across plant types and elements, the study highlights how vegetables, fruits, and cereals contribute differently to nutritional risk. This comprehensive approach offers a clearer picture of dietary exposure than analyses based on only total concentrations or single foods. While most essential trace elements posed no immediate risk under realistic bioaccessibility assumptions, Co and Cu results indicate a potential for excessive intake.
Our results revealed that UBM, ISO, PBET1, and BCR1 methods provide the most reliable estimates of ETE bioaccessibility in edible plants, while TC tends to overestimate and simpler methods (SBET, PBET2) may underestimate exposure. Incorporating bioaccessibility-corrected data and considering food matrix-specific factors are essential for accurate dietary risk assessments and effective public health management.
In conclusion, these findings highlight the importance of incorporating physiologically relevant extraction methods into dietary risk assessment to complement the total concentration data in food safety and nutrition research. The results may inform future regulatory frameworks, dietary guidance, and fortification strategies. Further research should focus on validating in vitro bioaccessibility with in vivo evidence, exploring nutrient–contaminant interactions, and expanding assessments across diverse diets and populations to strengthen the evidence base for nutrition policy development.




